Thermogravimetric analysis and kinetic study of pine wood pyrolysis
Resumo
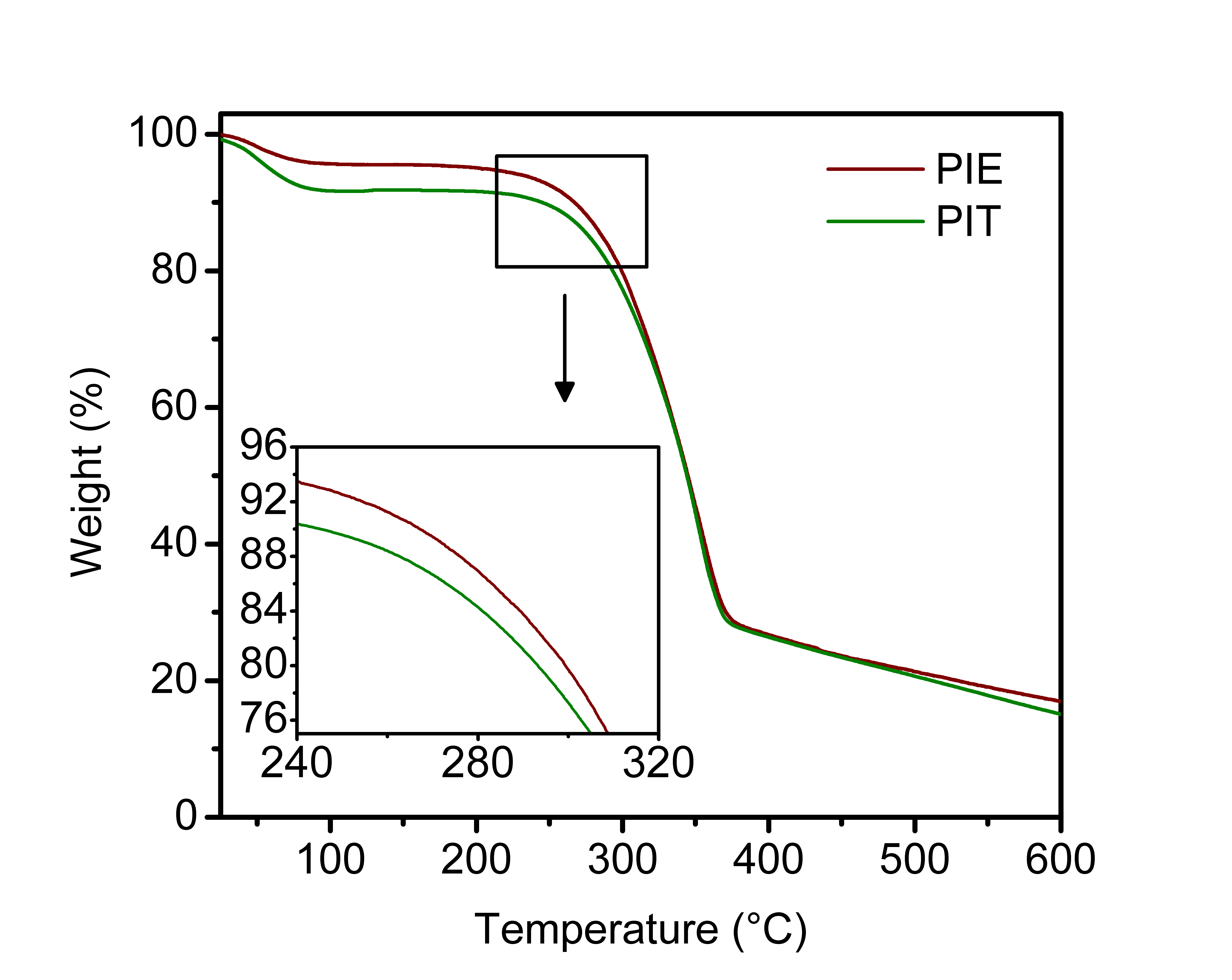
The thermal stability of lignocellulosic materials is an important parameter for application of these natural materials as reinforcements in thermoplastic composites. In this study, the thermogravimetric analysis was used to evaluate the thermal decomposition, activation energy and mechanisms of degradation of two pine wood species. The results indicate higher extractive content in wood may lead to lower thermal stability. Pinus elliottii showed higher thermal stability and higher activation energy than Pinus taeda. Diffusion process controlled the thermal degradation mechanisms for both wood species. The results showed for both species studied Pinus elliottii is recommend the development of composites based on its higher thermal stability. The methods used in this study were helpful to obtain valuable information about the thermal stability of wood and to determine the best conditions for preparation of wood composites.Downloads
Não há dados estatísticos.
Publicado
2016-10-26
Edição
Seção
Artigo original (Original research)
Copyright (c) 2016 Revista Ciência da Madeira (Brazilian Journal of Wood Science)

This work is licensed under a Creative Commons Attribution-NonCommercial-NoDerivatives 4.0 International License.
A CIÊNCIA DA MADEIRA resguarda o direito de modificar o trabalho em quaisquer hipóteses na ordem gramatical e ortográfica com o objetivo de manter a utilização correta da língua portuguesa ou ingles.
A CIÊNCIA DA MADEIRA passa a possuir o direito sobre todos os trabalhos enviados quanto a reprodução e publicação online.

https://orcid.org/0009-0007-3945-9715